دکتر  سعید جوی زاده - مشاورGIS و RS
بیان دیدگاه ها ،نقطه نظرات و عقاید سعید جوی زاده  
قالب وبلاگ

اين آماره که توسط استون ابداع شده براساس احتمال حداکثر نسبت تعداد موارد مشاهده شده تجمعی به تعداد موارد پیش­بینی شده تجمعی مورد محاسبه قرار مي­گيرد (کلت[1]، 1994). در آزمون استون ابتدا پهنه­ هاي موجود در منطقه مورد مطالعه برحسب فاصله از مبدأ فرضی (مثلاً پهنه 1) مرتب می­شوند و جدولی از تعداد موارد مشاهده شده و پیش­بینی شده تجمعی، (مانند جدول 10-1) تشکیل می­شود. سپس مقادير احتمال حداکثر نسبت تعداد موارد مشاهده شده

و.............

ادامه مطلب در کتاب: جغرافیای محاسباتی

مولفین: سعید جوی زاده، ساره حدادی

انتشارات آکادمیک، 1398

تلفن تماس سفارش کتاب: 07132341477-09382252774

سایت انتشارات: http://www.academicpress.co/

سایت آموزشی: http://crsgroup.ir

برای دانلود جزوات و فیلم های رایگان در زمینه GIS وRS به وب سایت زیر مراجعه نمایید:

https://gisland.org/

 

آماره استون، همبستگی، رگرسیون، طبقه ­بندی مکانی ، درونيابي ، داده­هاي گسسته، داده های منفصل، فراوانی نسبی، فراوانی مطلق، روش تنظیم جدول فراوانی، جدول توزیع فراوانی، فراوانی، طبقه بندی، طبقه بندی دادهها با روش آماری، طبقه بندی دادهها با روش غیر مکانی، جغرافیای محاسباتی، داده های مکانی، آمار فضایی، زمین آمار، آمار، جغرافیا، سعید جوی زاده، موسسه چشم انداز، درون یابی، آماره موران، خودهمبستگی فضایی، درونیابی، روش های آماری، شاخص های آماری، روش آماری غیر مکانی، طبقه ­بندی داده­ها،


برچسب‌ها: آماره استون, همبستگی, رگرسیون, طبقه ­بندی مکانی
[ دوشنبه سی و یکم تیر ۱۳۹۸ ] [ ۱۰:۵۴ ق.ظ ] [ منیژه براهیمی ]

 

همان گونه که در مقدمه اشاره شد، برای روش­های تخمینی که فاقد محدودیت در به کارگیری مشاهدات مجاور در تخمین هستند، روش معمول، عبارت از انتخاب نمونه ­ها از طریق تعیین محدودۀ جستجو است. تعریف فضای جستجو از طریق محدودۀ همسایگی[1] با مرکزیت منطبق بر محل تخمین صورت می­گیرد. سمت­گیری و امتدادهای جغرافیایی فضای جستجو، وابسته به الگوی ناهمسانگردی موجود در ساختار پیوستگی مکانی متغیر مطالعه است. چنانچه مقادیر عددی نمونه­ ها در جهت مشخص جغرافیایی، پیوستگی بیشتری از خود نشان دهند، آن گاه سمت­گیری محدودۀ جستجو، به گونه­ای خواهد بود که محور اصلی آن به موازات جهت حداکثر پیوستگی قرار می­گیرد. بدیهی است که دسترسی به مستندات کافی به منظور تبین و مدلسازی ناهمسانگردی ضروری است. در صورت فقدان ناهمسانگردی، یعنی همسانگرد بودن الگوی پیوستگی مکانی داده­ها، محدودۀ جستجو به شکل فضای دایره مانند تعریف می­گردد.

اثرات همسانگرد و یا ناهمسانگرد بودن محدودۀ جستجو بر تخمین، با استفاده از داده­های متغیر V  و تخمین­گرهای کریجینگ معمولی و مربع معکوس فاصله، مورد مطالعه قرار گرفتند و نتایج حاصل در جدول زیر نشان داده شده است.

و.............

ادامه مطلب در کتاب: جغرافیای محاسباتی

مولفین: سعید جوی زاده، ساره حدادی

انتشارات آکادمیک، 1398

تلفن تماس سفارش کتاب: 07132341477-09382252774

سایت انتشارات: http://www.academicpress.co/

سایت آموزشی: http://crsgroup.ir

 

برای دانلود جزوات و فیلم های رایگان در زمینه GIS وRS به وب سایت زیر مراجعه نمایید:

https://gisland.org/

تعریف و تعیین فضای جستجو، همبستگی، رگرسیون، طبقه ­بندی مکانی ، درونيابي ، داده­هاي گسسته، داده های منفصل، فراوانی نسبی، فراوانی مطلق، روش تنظیم جدول فراوانی، جدول توزیع فراوانی، فراوانی، طبقه بندی، طبقه بندی دادهها با روش آماری، طبقه بندی دادهها با روش غیر مکانی، جغرافیای محاسباتی، داده های مکانی، آمار فضایی، زمین آمار، آمار، جغرافیا، سعید جوی زاده، موسسه چشم انداز، درون یابی، آماره موران، خودهمبستگی فضایی، درونیابی، روش های آماری، شاخص های آماری، روش آماری غیر مکانی، طبقه ­بندی داده­ها،

 


برچسب‌ها: همبستگی, رگرسیون, طبقه ­بندی مکانی, درونيابي
[ یکشنبه سی ام تیر ۱۳۹۸ ] [ ۳:۲ ب.ظ ] [ منیژه براهیمی ]

جغرافیای محاسباتی

خودهمبستگی فضایی به رابطه بین مقادیر باقیمانده در طول خط رگرسیون مربوط می­شود. خودهمبستگی قوی زمانی رخ می­دهد که مقادیر باقیمانده در طول خط رگرسیون مربوط می­شود. خودهمبستگی قوی زمانی رخ می­دهد که مقادیر باقیماده شدیداً با هم در ارتباط باشند. به عبارت دیگر تغییراتشان به صورتی سیستماتیک رخ دهند. خودهمبستگی فضایی مفهومی نسبتاض ساده است و در حقیقت بسط همین مفهوم در امار کلاسیک است. خودهمبستگی قوی زمانی رخ می­دهد که مقادیر یک متغیر که از نظر جغرافیایی به هم نزدیک هستند با هم مرتبط باشند. اگر عوارض و یا مادیر متغیرهای مربوط به ان­ها به طور تصادفی در فضا توزیع شده باشند

و.............

ادامه مطلب در کتاب: جغرافیای محاسباتی

مولفین: سعید جوی زاده، ساره حدادی

انتشارات آکادمیک، 1398

تلفن تماس سفارش کتاب: 07132341477-09382252774

سایت انتشارات: http://www.academicpress.co/

سایت آموزشی: http://crsgroup.ir

 

برای دانلود جزوات و فیلم های رایگان در زمینه GIS وRS به وب سایت زیر مراجعه نمایید:

https://gisland.org/

خودهمبستگی فضایی در مباحث مکانی ، خودهمبستگی فضایی، همبستگی، رگرسیون، طبقه ­بندی مکانی ، درونيابي ، داده­هاي گسسته، داده های منفصل، فراوانی نسبی، فراوانی مطلق، روش تنظیم جدول فراوانی، جدول توزیع فراوانی، فراوانی، طبقه بندی، طبقه بندی دادهها با روش آماری، طبقه بندی دادهها با روش غیر مکانی، جغرافیای محاسباتی، داده های مکانی، آمار فضایی، زمین آمار، آمار، جغرافیا، سعید جوی زاده، موسسه چشم انداز، درون یابی، آماره موران، خودهمبستگی فضایی، درونیابی، روش های آماری، شاخص های آماری، روش آماری غیر مکانی، طبقه ­بندی داده­ها،


برچسب‌ها: خودهمبستگی فضایی, همبستگی, رگرسیون, طبقه ­بندی مکانی
[ شنبه بیست و نهم تیر ۱۳۹۸ ] [ ۸:۴۴ ق.ظ ] [ منیژه براهیمی ]

یکی از فرضیات رگرسیون اینست که تمامی جملات خطا باید دارای واریانس برابر باشند. در عمل این فرض چندان صادق نیست. آزمون بروش پاگان [1]به منظور آزمون واریانس ناهمسانی در مدل­های رگرسیون خطی استفاده می­شود و وابستگی واریانس جملات خطا به دست آمده از رگرسیون خطی را به مقادیر متغیرهای مستقل مدل، بررسی می­کند (فروند[2] و همکاران، 1980). این آزمون از ساده‌ترین آزمون‌های مورد استفاده در این زمینه است و توسط آقایان بروش و پاگان در سال ۱۹۷۹ معرفی شده است. فرضیات این آزمون عبارتند از:

: دلالت بر همسانی واریانس دارد.

: دلیلی بر همسانی واریانس وجود ندارد.

آزمون بروش-پاگان شامل چهار مرحله زیر است:

و.............

ادامه مطلب در کتاب: جغرافیای محاسباتی

مولفین: سعید جوی زاده، ساره حدادی

انتشارات آکادمیک، 1398

تلفن تماس سفارش کتاب: 07132341477-09382252774

سایت انتشارات: http://www.academicpress.co/

سایت آموزشی: http://crsgroup.ir

برای دانلود جزوات و فیلم های رایگان در زمینه GIS وRS به وب سایت زیر مراجعه نمایید:

https://gisland.org/

 

فرضیه¬ی ناهمسانی واریانس ،همبستگی، رگرسیون، طبقه ­بندی مکانی ، درونيابي ، داده­هاي گسسته، داده های منفصل، فراوانی نسبی، فراوانی مطلق، روش تنظیم جدول فراوانی، جدول توزیع فراوانی، فراوانی، طبقه بندی، طبقه بندی دادهها با روش آماری، طبقه بندی دادهها با روش غیر مکانی، جغرافیای محاسباتی، داده های مکانی، آمار فضایی، زمین آمار، آمار، جغرافیا، سعید جوی زاده، موسسه چشم انداز، درون یابی، آماره موران، خودهمبستگی فضایی، درونیابی، روش های آماری، شاخص های آماری، روش آماری غیر مکانی، طبقه ­بندی داده­ها،

 


برچسب‌ها: فرضیه¬ی ناهمسانی واریانس, همبستگی, رگرسیون, طبقه ­بندی مکانی
[ پنجشنبه بیست و هفتم تیر ۱۳۹۸ ] [ ۱۱:۴۵ ق.ظ ] [ منیژه براهیمی ]

در این آزمون، فرض­های ذیل تدوین می­شود:

: جملات خطا دارای توزیع نرمال است.

H1  : جملات خطا دارای توزیع نرمال نیست.

اگر مقادیر محاسباتی آماره جارک-برا (J-B)  از مقدار بحرانی جدول خی‏دو بزرگتر نباشد، نرمال بودن توزیع جملات خطا رد نمی‏شود. اما زمانی که اندازه نمونه به میزان کافی بزرگ باشد و سایر فرضیات نیز برقرار باشند، انحراف از فرض نرمال بودن معمولاً بی‌اهمیت و پیامدهای آن ناچیز است (هوگ[1] و همکاران، 1978).

و.............

ادامه مطلب در کتاب: جغرافیای محاسباتی

مولفین: سعید جوی زاده، ساره حدادی

انتشارات آکادمیک، 1398

تلفن تماس سفارش کتاب: 07132341477-09382252774

سایت انتشارات: http://www.academicpress.co/

سایت آموزشی: http://crsgroup.ir

 

برای دانلود جزوات و فیلم های رایگان در زمینه GIS وRS به وب سایت زیر مراجعه نمایید:

https://gisland.org/

آزمون جارک برا، همبستگی، رگرسیون، طبقه ­بندی مکانی ، درونيابي ، داده­هاي گسسته، داده های منفصل، فراوانی نسبی، فراوانی مطلق، روش تنظیم جدول فراوانی، جدول توزیع فراوانی، فراوانی، طبقه بندی، طبقه بندی دادهها با روش آماری، طبقه بندی دادهها با روش غیر مکانی، جغرافیای محاسباتی، داده های مکانی، آمار فضایی، زمین آمار، آمار، جغرافیا، سعید جوی زاده، موسسه چشم انداز، درون یابی، آماره موران، خودهمبستگی فضایی، درونیابی، روش های آماری، شاخص های آماری، روش آماری غیر مکانی، طبقه ­بندی داده­ها،

 


برچسب‌ها: آزمون جارک برا, همبستگی, رگرسیون, طبقه ­بندی مکانی
[ پنجشنبه بیست و هفتم تیر ۱۳۹۸ ] [ ۱۱:۴۴ ق.ظ ] [ منیژه براهیمی ]

در بیشتر موارد بین مقادیر مشاهده شده و خط رگرسیونی تفاوت­هايي وجود دارد که برخی از آن­ها مثبت و برخی ديگر منفی هستند (شکل 7-4). فرضياتي در رابطه با اين خطاها وجود دارد که عبارتند از:

 

- خطاها یکدیگر را خنثی می­کنند، به عبارت دیگر مجموع خطا­ها برابر صفر است؛

- رابطه­ای بین خطای موجود در یک مشاهده با خطاهای دیگر وجود ندارد (استقلال خطا) ؛

- تغییرات بین خطاها (واریانس) ثابت در نظر گرفته می­شود؛

- خطاها دارای توزیع نرمال هستند.

و.............

ادامه مطلب در کتاب: جغرافیای محاسباتی

مولفین: سعید جوی زاده، ساره حدادی

انتشارات آکادمیک، 1398

تلفن تماس سفارش کتاب: 07132341477-09382252774

سایت انتشارات: http://www.academicpress.co/

سایت آموزشی: http://crsgroup.ir

برای دانلود جزوات و فیلم های رایگان در زمینه GIS وRS به وب سایت زیر مراجعه نمایید:

https://gisland.org/

 

فرضیات رگرسیون ، همبستگی، رگرسیون، طبقه ­بندی مکانی ، درونيابي ، داده­هاي گسسته، داده های منفصل، فراوانی نسبی، فراوانی مطلق، روش تنظیم جدول فراوانی، جدول توزیع فراوانی، فراوانی، طبقه بندی، طبقه بندی دادهها با روش آماری، طبقه بندی دادهها با روش غیر مکانی، جغرافیای محاسباتی، داده های مکانی، آمار فضایی، زمین آمار، آمار، جغرافیا، سعید جوی زاده، موسسه چشم انداز، درون یابی، آماره موران، خودهمبستگی فضایی، درونیابی، روش های آماری، شاخص های آماری، روش آماری غیر مکانی، طبقه ­بندی داده­ها،

 


برچسب‌ها: فرضیات رگرسیون, همبستگی, رگرسیون, طبقه ­بندی مکانی
[ پنجشنبه بیست و هفتم تیر ۱۳۹۸ ] [ ۱۱:۳۰ ق.ظ ] [ منیژه براهیمی ]

یکی از اهداف بیشتر بررسی­های آماری، یافتن رابطه­هایی است که به کمک آن بتوان اثر تغییرات یک یا چند متغیر را بر روی متغیرهای دیگر پیش­بینی کرد. برای نمونه:

- پیش­بینی سیل­ها بر اساس نرخ تخلیه­ی آب رودخانه در محلی خاص و نرخ تخلیه­ی رودخانه در محل­های واقع در بالای رودخانه.

- پیش­بینی مصرف سرانه­ی یک نوع غذای مشخص بر حسب میزان مواد مغذی موجود در آن.

- پیش­بینی درصد مردمی که دارای شرایط رأی دادن هستند، نسبت به عوامل اجتماعی-سیاسی همچون: ساختار سنی، سطح سواد و میانگین درآمد.

- پیش­بینی امکان فروش یک فرآورده­ی جدید بر حسب قیمت آن.

و.............

ادامه مطلب در کتاب: جغرافیای محاسباتی

مولفین: سعید جوی زاده، ساره حدادی

انتشارات آکادمیک، 1398

تلفن تماس سفارش کتاب: 07132341477-09382252774

سایت انتشارات: http://www.academicpress.co/

سایت آموزشی: http://crsgroup.ir

 

برای دانلود جزوات و فیلم های رایگان در زمینه GIS وRS به وب سایت زیر مراجعه نمایید:

https://gisland.org/

همبستگی، رگرسیون، مفهوم رگرسیون در مباحث غیر مکانی، طبقه ­بندی مکانی ، درونيابي ، داده­هاي گسسته، داده های منفصل، فراوانی نسبی، فراوانی مطلق، روش تنظیم جدول فراوانی، جدول توزیع فراوانی، فراوانی، طبقه بندی، طبقه بندی دادهها با روش آماری، طبقه بندی دادهها با روش غیر مکانی، جغرافیای محاسباتی، داده های مکانی، آمار فضایی، زمین آمار، آمار، جغرافیا، سعید جوی زاده، موسسه چشم انداز، درون یابی، آماره موران، خودهمبستگی فضایی، درونیابی، روش های آماری، شاخص های آماری، روش آماری غیر مکانی، طبقه ­بندی داده­ها،

 

 


برچسب‌ها: همبستگی, رگرسیون, طبقه ­بندی مکانی, درونيابي
[ پنجشنبه بیست و هفتم تیر ۱۳۹۸ ] [ ۱۱:۲۸ ق.ظ ] [ منیژه براهیمی ]

کندال در حدود 1930 به مطالعه یک نوع ضریب همبستگی پرداخت که به نام او شهرت دارد. ضریب همبستگی رتبه­ای به تای کندال مشهور است و با حرف یونانیτ   نمایش داده‌ می‌شود یک آمارۀ ناپارامتری است که برای سنجش همبتگی آماری میان دو متغیر تصادفی به کار می‌رود.ضریب همبستگی کندال به صورت زیر تعریف می­شود:

 :Πc میزان تغییرات دو متغیر را در یک جهت بیان می­کند.

 :Πd میزان تغییرات دو متغیر را در جهت­های مخالف بیان می­کند

و.............

ادامه مطلب در کتاب: جغرافیای محاسباتی

مولفین: سعید جوی زاده، ساره حدادی

انتشارات آکادمیک، 1398

تلفن تماس سفارش کتاب: 07132341477-09382252774

سایت انتشارات: http://www.academicpress.co/

سایت آموزشی: http://crsgroup.ir

 

برای دانلود جزوات و فیلم های رایگان در زمینه GIS وRS به وب سایت زیر مراجعه نمایید:

https://gisland.org/

ضریب همبستگی رتبه‌ای کندال ، همبستگی، رگرسیون، طبقه ­بندی مکانی ، درونيابي ، داده­هاي گسسته، داده های منفصل، فراوانی نسبی، فراوانی مطلق، روش تنظیم جدول فراوانی، جدول توزیع فراوانی، فراوانی، طبقه بندی، طبقه بندی دادهها با روش آماری، طبقه بندی دادهها با روش غیر مکانی، جغرافیای محاسباتی، داده های مکانی، آمار فضایی، زمین آمار، آمار، جغرافیا، سعید جوی زاده، موسسه چشم انداز، درون یابی، آماره موران، خودهمبستگی فضایی، درونیابی، روش های آماری، شاخص های آماری، روش آماری غیر مکانی، طبقه ­بندی داده­ها،

 


برچسب‌ها: ضریب همبستگی رتبه‌ای کندال, همبستگی, رگرسیون, طبقه ­بندی مکانی
[ پنجشنبه بیست و هفتم تیر ۱۳۹۸ ] [ ۱۱:۲۶ ق.ظ ] [ منیژه براهیمی ]

یکی از روش­های معمول در تعیین ضریب همبستگی، به کارگیری همبستگی رتبه­ای اسپیرمن است. ضریب همبستگی رتبه ای اسپیرمن توسط چارلز اسپیرمن (1945-1863) روانشناس و آماردان انگلیسی در سال 1904 معرفی شد. این ضریب میزان همبستگی رابطه ی میان دو متغیر ترتیبی را نشان می­دهد و به عبارت دیگر متناظر ناپارامتری ضریب همبستگی پیرسون می­باشد. در این ضریب همبستگی به جای استفاده از خود مقادیر متغیرها از رتبه­های آنان استفاده می­شود. رابطۀ مربوط به ضریب همبستگی رتبه­ای اسپیرمن به صورت زیر تعریف می­شود.

و.............

ادامه مطلب در کتاب: جغرافیای محاسباتی

مولفین: سعید جوی زاده، ساره حدادی

انتشارات آکادمیک، 1398

تلفن تماس سفارش کتاب: 07132341477-09382252774

سایت انتشارات: http://www.academicpress.co/

سایت آموزشی: http://crsgroup.ir

 

برای دانلود جزوات و فیلم های رایگان در زمینه GIS وRS به وب سایت زیر مراجعه نمایید:

https://gisland.org/

همبستگی اسپیرمن ، همبستگی، رگرسیون، طبقه ­بندی مکانی ، درونيابي ، داده­هاي گسسته، داده های منفصل، فراوانی نسبی، فراوانی مطلق، روش تنظیم جدول فراوانی، جدول توزیع فراوانی، فراوانی، طبقه بندی، طبقه بندی دادهها با روش آماری، طبقه بندی دادهها با روش غیر مکانی، جغرافیای محاسباتی، داده های مکانی، آمار فضایی، زمین آمار، آمار، جغرافیا، سعید جوی زاده، موسسه چشم انداز، درون یابی، آماره موران، خودهمبستگی فضایی، درونیابی، روش های آماری، شاخص های آماری، روش آماری غیر مکانی، طبقه ­بندی داده­ها،

 


برچسب‌ها: همبستگی اسپیرمن, همبستگی, رگرسیون, طبقه ­بندی مکانی
[ پنجشنبه بیست و هفتم تیر ۱۳۹۸ ] [ ۱۱:۲۲ ق.ظ ] [ منیژه براهیمی ]

هماهنگي مكاني بين دو متغیر از طريق محاسبه واريانس مشترك[1] آن­ها حاصل مي­شود. راي استاندارد كردن كوواريانس، مقدار آن بر حاصلضرب انحراف­معيارهاي متغيرهاي مستقل و وابسته تقسيم مي­شود. واريانس مشترك استاندارد شده ضريب همبستگي پیرسون ناميده مي­شود.

و.............

ادامه مطلب در کتاب: جغرافیای محاسباتی

مولفین: سعید جوی زاده، ساره حدادی

انتشارات آکادمیک، 1398

تلفن تماس سفارش کتاب: 07132341477-09382252774

سایت انتشارات: http://www.academicpress.co/

سایت آموزشی: http://crsgroup.ir

 

برای دانلود جزوات و فیلم های رایگان در زمینه GIS وRS به وب سایت زیر مراجعه نمایید:

https://gisland.org/

همبستگی، رگرسیون، همبستگی پیرسون ، طبقه ­بندی مکانی ، درونيابي ، داده­هاي گسسته، داده های منفصل، فراوانی نسبی، فراوانی مطلق، روش تنظیم جدول فراوانی، جدول توزیع فراوانی، فراوانی، طبقه بندی، طبقه بندی دادهها با روش آماری، طبقه بندی دادهها با روش غیر مکانی، جغرافیای محاسباتی، داده های مکانی، آمار فضایی، زمین آمار، آمار، جغرافیا، سعید جوی زاده، موسسه چشم انداز، درون یابی، آماره موران، خودهمبستگی فضایی، درونیابی، روش های آماری، شاخص های آماری، روش آماری غیر مکانی، طبقه ­بندی داده­ها،

 

 


برچسب‌ها: همبستگی, رگرسیون, همبستگی پیرسون, طبقه ­بندی مکانی
[ پنجشنبه بیست و هفتم تیر ۱۳۹۸ ] [ ۱۱:۱۶ ق.ظ ] [ منیژه براهیمی ]

جغرافیای محاسباتی

یکی از کاربردی­ترین تکنیک آماری در جغرافیا همبستگی و رگرسیون است. همبستگی به ارتباط بین متغیرها می­پردازد. برای نمونه، ارتباط بین دما و بارش در یک منطقه. تحلیل رگرسیون[1] روشی برای مدل­سازی و تحلیل داده­های عددی است. داده­ها شامل مقدارهایی برای متغیر وابسته و یک یا چند متغیر مستقل هستند. هدف از تحلیل رگرسیون، بیان متغیر وابسته به شکل تابعی از متغیر یا متـغیرهای مسـتقل، ضرایب و مـقادیر خطا است تا به این روش، بتـوان رفتار متغیر وابسـته را در افق­های زمانی آتی پیش­بینی نمود. برای نمونه، پیش­بینی بارش یک منطقه با در نظر گرفتن دما در آن منطقه. موضوع همبستگی و رگرسیون علاوه بر اهمیتی که در دیدگاه غیر مکانی دارد، در دیدگاه مکانی نیز از اهمیت ویژه­ای برخوردار است. در این فصل، علاوه بر همبستگی و رگرسیون، مبحث خودهمبستگی و رگرسیون موزون جغرافیایی در مکان نیز مورد بررسی قرار می­گیرد.

 

و.............

ادامه مطلب در کتاب: جغرافیای محاسباتی

مولفین: سعید جوی زاده، ساره حدادی

انتشارات آکادمیک، 1398

تلفن تماس سفارش کتاب: 07132341477-09382252774

سایت انتشارات: http://www.academicpress.co/

سایت آموزشی: http://crsgroup.ir

برای دانلود جزوات و فیلم های رایگان در زمینه GIS وRS به وب سایت زیر مراجعه نمایید:

https://gisland.org/

 

همبستگی، رگرسیون، طبقه ­بندی مکانی ، درونيابي ، داده­هاي گسسته، داده های منفصل، فراوانی نسبی، فراوانی مطلق، روش تنظیم جدول فراوانی، جدول توزیع فراوانی، فراوانی، طبقه بندی، طبقه بندی دادهها با روش آماری، طبقه بندی دادهها با روش غیر مکانی، جغرافیای محاسباتی، داده های مکانی، آمار فضایی، زمین آمار، آمار، جغرافیا، سعید جوی زاده، موسسه چشم انداز، درون یابی، آماره موران، خودهمبستگی فضایی، درونیابی، روش های آماری، شاخص های آماری، روش آماری غیر مکانی، طبقه ­بندی داده­ها،

 


برچسب‌ها: همبستگی, رگرسیون, طبقه ­بندی مکانی, درونيابي
[ پنجشنبه بیست و هفتم تیر ۱۳۹۸ ] [ ۱۱:۸ ق.ظ ] [ منیژه براهیمی ]

به ازای هر یک از متغیرها یک خط مستقیم در زیر هم رسم می­شود. مقادیر مربوط به هر متغیر بر روی خط مربوطه در نظر گرفته می­شود. در این نمودار متغیر مورد مطالعه اصلی از جنبه­های مختلفی چون انحراف معیار، چارک، و ... می­تواند طبقه بندی شود. سپس متغیرطبقه بندی شده با دیگر متغیرها ارزیابی می­شود. برای نمونه بارش در استان خوزستان را بر اساس پراکندگی (انحراف معیار) طبقه بندی کرده و آن را با دو متغیر ارتفاع و شیب مورد ارزیابی قرار داده پراکندگی بارش در قسمت شمال و شمال شرقی و شرق خوزستان به مراتب زیاد است و این ناحیه، مناطقی هستند که بیشترین بارش

و.............

ادامه مطلب در کتاب: جغرافیای محاسباتی

مولفین: سعید جوی زاده، ساره حدادی

انتشارات آکادمیک، 1398

تلفن تماس سفارش کتاب: 07132341477-09382252774

سایت انتشارات: http://www.academicpress.co/

سایت آموزشی: http://crsgroup.ir

 

برای دانلود جزوات و فیلم های رایگان در زمینه GIS وRS به وب سایت زیر مراجعه نمایید:

https://gisland.org/

نمودار، نمودار هماهنگی خطوط موازی ، طبقه ­بندی مکانی ، درونيابي ، داده­هاي گسسته، داده های منفصل، فراوانی نسبی، فراوانی مطلق، روش تنظیم جدول فراوانی، جدول توزیع فراوانی، فراوانی، طبقه بندی، طبقه بندی دادهها با روش آماری، طبقه بندی دادهها با روش غیر مکانی، جغرافیای محاسباتی، داده های مکانی، آمار فضایی، زمین آمار، آمار، جغرافیا، سعید جوی زاده، موسسه چشم انداز، درون یابی، آماره موران، خودهمبستگی فضایی، رگرسیون، درونیابی، روش های آماری، شاخص های آماری، روش آماری غیر مکانی، طبقه ­بندی داده­ها،

 


برچسب‌ها: نمودار, نمودار هماهنگی خطوط موازی, طبقه ­بندی مکانی, درونيابي
[ پنجشنبه بیست و هفتم تیر ۱۳۹۸ ] [ ۱۱:۶ ق.ظ ] [ منیژه براهیمی ]

جغرافیای محاسباتی

نمودار H - پراکنش، نموداری است که جفت مقادیر عددی یک متغیر که با فاصلۀ معین و در جهت جغرافیایی مشخص از یکدیگر واقع شده­اند، را نشان می­دهد. در نمودارهای H - پراکنش، نمایه­های x  و y ، بیانگر مختصات جغرافیایی محل نمونه­ها هستند. موقعیت هر نمونه را می­توان توسط یک آرایه بیان کرد. فاصلۀ بین دو نمونه را نیز می­توان به همین ترتیب توصیف کرد.

و.............

ادامه مطلب در کتاب: جغرافیای محاسباتی

مولفین: سعید جوی زاده، ساره حدادی

انتشارات آکادمیک، 1398

تلفن تماس سفارش کتاب: 07132341477-09382252774

سایت انتشارات: http://www.academicpress.co/

سایت آموزشی: http://crsgroup.ir

 

برای دانلود جزوات و فیلم های رایگان در زمینه GIS وRS به وب سایت زیر مراجعه نمایید:

https://gisland.org/

نمودار H- پراکنش، نمودار، طبقه ­بندی مکانی ، درونيابي ، داده­هاي گسسته، داده های منفصل، فراوانی نسبی، فراوانی مطلق، روش تنظیم جدول فراوانی، جدول توزیع فراوانی، فراوانی، طبقه بندی، طبقه بندی دادهها با روش آماری، طبقه بندی دادهها با روش غیر مکانی، جغرافیای محاسباتی، داده های مکانی، آمار فضایی، زمین آمار، آمار، جغرافیا، سعید جوی زاده، موسسه چشم انداز، درون یابی، آماره موران، خودهمبستگی فضایی، رگرسیون، درونیابی، روش های آماری، شاخص های آماری، روش آماری غیر مکانی، طبقه ­بندی داده­ها،

 


برچسب‌ها: نمودار H, پراکنش, نمودار, طبقه ­بندی مکانی
[ پنجشنبه بیست و هفتم تیر ۱۳۹۸ ] [ ۱۱:۵ ق.ظ ] [ منیژه براهیمی ]

 

برای رسم نمودار ساقه و برگ به این شکل عمل می­شود. رقمی را که تغییرات کمی دارد به عنوان ساقه و رقمی را که تغییرات آن زیادتر هست به عنوان برگ لحاظ می­شود. از روي اين نمودار بسياري از ويژگيهايي نهفته سري آشکار مي شود. گروه داراي بيشترين فراواني اعضا، بالاترين و پائينترين عضو، درجه تراكم يا پراکندگی اعضا و جايگاه اين پراکندگی يا تراكم مشاهده مي شود. نمودار ساقه و برگ نموداری مناسب برای تشخیص دادن نرمال بودن داده می­باشد.

و.............

ادامه مطلب در کتاب: جغرافیای محاسباتی

مولفین: سعید جوی زاده، ساره حدادی

انتشارات آکادمیک، 1398

تلفن تماس سفارش کتاب: 07132341477-09382252774

سایت انتشارات: http://www.academicpress.co/

سایت آموزشی: http://crsgroup.ir

 

برای دانلود جزوات و فیلم های رایگان در زمینه GIS وRS به وب سایت زیر مراجعه نمایید:

https://gisland.org/

نمودار ساقه و برگ، نمودار، طبقه ­بندی مکانی ، درونيابي ، داده­هاي گسسته، داده های منفصل، فراوانی نسبی، فراوانی مطلق، روش تنظیم جدول فراوانی، جدول توزیع فراوانی، فراوانی، طبقه بندی، طبقه بندی دادهها با روش آماری، طبقه بندی دادهها با روش غیر مکانی، جغرافیای محاسباتی، داده های مکانی، آمار فضایی، زمین آمار، آمار، جغرافیا، سعید جوی زاده، موسسه چشم انداز، درون یابی، آماره موران، خودهمبستگی فضایی، رگرسیون، درونیابی، روش های آماری، شاخص های آماری، روش آماری غیر مکانی، طبقه ­بندی داده­ها،

 


برچسب‌ها: نمودار ساقه و برگ, نمودار, طبقه ­بندی مکانی, درونيابي
[ پنجشنبه بیست و هفتم تیر ۱۳۹۸ ] [ ۱۰:۴۸ ق.ظ ] [ منیژه براهیمی ]

در اين نمودار فراواني طبقات به جاي نمايش با يك نمودار توسط قطاع­هاي يك دايره نشان داده مي­شود. در اين دايره مساحت دايره حجم كل داده­ها را تشكيل مي­دهد و هر طبقه به نسبت فراواني خودش درصدي از مساحت آن را به خود اختصاص مي­دهد. تقسيم مساحت دايره به نسبت فراواني­هاي طبقات از روي محيط آن انجام مي­شود. كل داده ها 360 درجه منظور مي­شود و آن را به نسبت فراواني­ها بين طبقات تقسيم مي­كنند. نقاط مرزي بين طبقات بوسيله خطي به مركز دايره وصل مي­شود.

و.............

ادامه مطلب در کتاب: جغرافیای محاسباتی

مولفین: سعید جوی زاده، ساره حدادی

انتشارات آکادمیک، 1398

تلفن تماس سفارش کتاب: 07132341477-09382252774

سایت انتشارات: http://www.academicpress.co/

سایت آموزشی: http://crsgroup.ir

 

برای دانلود جزوات و فیلم های رایگان در زمینه GIS وRS به وب سایت زیر مراجعه نمایید:

https://gisland.org/

نمودار دایره ای، نمودار، طبقه ­بندی مکانی ، درونيابي ، داده­هاي گسسته، داده های منفصل، فراوانی نسبی، فراوانی مطلق، روش تنظیم جدول فراوانی، جدول توزیع فراوانی، فراوانی، طبقه بندی، طبقه بندی دادهها با روش آماری، طبقه بندی دادهها با روش غیر مکانی، جغرافیای محاسباتی، داده های مکانی، آمار فضایی، زمین آمار، آمار، جغرافیا، سعید جوی زاده، موسسه چشم انداز، درون یابی، آماره موران، خودهمبستگی فضایی، رگرسیون، درونیابی، روش های آماری، شاخص های آماری، روش آماری غیر مکانی، طبقه ­بندی داده­ها،

 


برچسب‌ها: نمودار دایره ای, نمودار, طبقه ­بندی مکانی, درونيابي
[ پنجشنبه بیست و هفتم تیر ۱۳۹۸ ] [ ۱۰:۴۷ ق.ظ ] [ منیژه براهیمی ]

جغرافیای محاسباتی

این نمودار مشابه نمودار مستطیلی است اما با این تفاوت که از نقطه میانی کران طبقات برای محور افقی استفاده می­کند و ستون­ها را نیز به وسیله نقاط جایگزین می­کند و سپس از اتصال این نقاط نمودار رسم می­شود.

و.............

ادامه مطلب در کتاب: جغرافیای محاسباتی

مولفین: سعید جوی زاده، ساره حدادی

انتشارات آکادمیک، 1398

تلفن تماس سفارش کتاب: 07132341477-09382252774

سایت انتشارات: http://www.academicpress.co/

سایت آموزشی: http://crsgroup.ir

 

برای دانلود جزوات و فیلم های رایگان در زمینه GIS وRS به وب سایت زیر مراجعه نمایید:

https://gisland.org/

نمودار، نمودار چندبر فراوانی، طبقه ­بندی مکانی ، درونيابي ، داده­هاي گسسته، داده های منفصل، فراوانی نسبی، فراوانی مطلق، روش تنظیم جدول فراوانی، جدول توزیع فراوانی، فراوانی، طبقه بندی، طبقه بندی دادهها با روش آماری، طبقه بندی دادهها با روش غیر مکانی، جغرافیای محاسباتی، داده های مکانی، آمار فضایی، زمین آمار، آمار، جغرافیا، سعید جوی زاده، موسسه چشم انداز، درون یابی، آماره موران، خودهمبستگی فضایی، رگرسیون، درونیابی، روش های آماری، شاخص های آماری، روش آماری غیر مکانی، طبقه ­بندی داده­ها،

 


برچسب‌ها: نمودار, نمودار چندبر فراوانی, طبقه ­بندی مکانی, درونيابي
[ پنجشنبه بیست و هفتم تیر ۱۳۹۸ ] [ ۱۰:۴۵ ق.ظ ] [ منیژه براهیمی ]

جغرافیای محاسباتی

نمودار میله­ای وسیلۀ دیگر برای نمایش نموداری داده­های کمی گسسته و کیفی است. این نوع نمودار با شکلی شبیه میله نمایش داده می­شود. پهنای ستون در همه طبقات به یک اندازه است. ستونها نباید بهم بچسبند ولی اندازه فاصله از همديگر مي­تواند متغير باشد. در شکل زیر متوسط وضعیت انواع خشکسالی (با شاخص (SPI  مناطق غرب کشور با نمودار میله­ای نشان داده شده است.

و.............

ادامه مطلب در کتاب: جغرافیای محاسباتی

مولفین: سعید جوی زاده، ساره حدادی

انتشارات آکادمیک، 1398

تلفن تماس سفارش کتاب: 07132341477-09382252774

سایت انتشارات: http://www.academicpress.co/

سایت آموزشی: http://crsgroup.ir

 

برای دانلود جزوات و فیلم های رایگان در زمینه GIS وRS به وب سایت زیر مراجعه نمایید:

https://gisland.org/

نمودار، نمودار میله ای، داده­های کمی گسسته، داده های کیفی، طبقه­بندی مکانی ، درونيابي ، داده­هاي گسسته، داده های منفصل، فراوانی نسبی، فراوانی مطلق، روش تنظیم جدول فراوانی، جدول توزیع فراوانی، فراوانی، طبقه بندی، طبقه بندی دادهها با روش آماری، طبقه بندی دادهها با روش غیر مکانی، جغرافیای محاسباتی، داده های مکانی، آمار فضایی، زمین آمار، آمار، جغرافیا، سعید جوی زاده، موسسه چشم انداز، درون یابی، آماره موران، خودهمبستگی فضایی، رگرسیون، درونیابی، روش های آماری، شاخص های آماری، روش آماری غیر مکانی، طبقه ­بندی داده­ها، 


برچسب‌ها: نمودار, داده­های کمی گسسته, داده های کیفی, طبقه­بندی مکانی
[ پنجشنبه بیست و هفتم تیر ۱۳۹۸ ] [ ۱۰:۴۲ ق.ظ ] [ منیژه براهیمی ]

کتاب جغرافیای محاسباتی

گاهی اوقات، بهتر است که داده­ ها را به صورت صعودی (یا نزولی) مرتب نمود و سپس، اقدام به تهیۀ جدول فراوانی (تجمعی) و توصیف گرافیکی توزیع فراوانی (تجمعی) کرد. برای نمونه، در مطالعات الودگی خاکبه عناصر سنگین و یا توزیع عناصر و املاح در خاک­های مبتلا به نمک، اطلاع از فراوانی تجمعی یا تعداد مشاهداتی که دارای مقادیر عددی بیشتر (یا کمتر) از یک حد بحرانی (معین و تعریف شده) هستند، بسیار مهم می­باشند.

جدول فراوانی تجمعی متغیر VV  (با در نظر گرفتن عرض کلاس 10 پی­پی­ام) به همراه هیستوگرام تجمعی آن در جدول زیر  نشان داده شده ­اند. همان گونه که ملاحظه می­شود، هیستوگرام تجمعی، در حکم یک تابع غیر نزولی می­باشد که بین 0 تا 100 درصد در تغییر می­باشد. بدیهی است که با دانستن یکی از درصد فراوانی و یا درصد فراوانی تجمعی می­توان دیگری را محاسبه نمود (محمدی، 1385)............................ادامه مطلب در کتاب: جغرافیای محاسباتی

مولفین: سعید جوی زاده، ساره حدادی

انتشارات آکادمیک، 1398

تلفن تماس سفارش کتاب: 07132341477-09382252774

سایت انتشارات: http://www.academicpress.co/

سایت آموزشی: http://crsgroup.ir

برای دانلود جزوات و فیلم های رایگان در زمینه GIS وRS به وب سایت زیر مراجعه نمایید:

https://gisland.org/

اسپلاین، روش درونيابي اسپلاين، طبقه­ بندی مکانی ، درونيابي ، داده­ هاي گسسته، داده های منفصل، فراوانی نسبی، فراوانی مطلق، روش تنظیم جدول فراوانی، جدول توزیع فراوانی، فراوانی، طبقه بندی، طبقه بندی دادهها با روش آماری، طبقه بندی دادهها با روش غیر مکانی، جغرافیای محاسباتی، داده های مکانی، آمار فضایی، زمین آمار، آمار، جغرافیا، سعید جوی زاده، موسسه چشم انداز، درون یابی، آماره موران، خودهمبستگی فضایی، رگرسیون، درونیابی، روش های آماری، شاخص های آماری، روش آماری غیر مکانی، طبقه ­بندی داده ­ها، Geocomputation

 


برچسب‌ها: اسپلاین, روش درونيابي اسپلاين, طبقه­ بندی مکانی, درونيابي
[ سه شنبه بیست و پنجم تیر ۱۳۹۸ ] [ ۱:۵۱ ب.ظ ] [ سعید جوی زاده ]

کتاب جغرافیای محاسباتی

یکی از روش­ های سودمند سازمان­دهی داده­ ها، تشکیل جدول فراوانی و نمایش گرافیکی آن در قالب هیستوگرام است. همان طور که در فصل­ های قبل نیز اشاره شد، جدول فراوانی، در واقع، تعداد دفعاتی که مقادیر مشاهده شده در دامنه­ های عددی مشخص (کلاس­ های عددی) قرار می­گیرند را ثبت می­کند. جدول فراوانی 100 دادۀ مربوط به متغیر V V در جدول زیر ارائه شده است. اطلاعات موجود در جدول مذکور را می­توان به صورت گرافیکی و به شکل نمودار هیستوگرام نشان داد. معمولاً جهت ترسیم هیستوگرام، از کلاس ­های عددی با دامنۀ ثابت استفاده می­شود. در این صورت ارتفاع هیستوگرام، متناسب با تعداد مشاهداتی است که در هر کلاس قرار گرفته ­اند. هیستوگرام داده ­های متغیر V V در شکل زیر نشان داده شده است.

ادامه مطلب در کتاب: جغرافیای محاسباتی

مولفین: سعید جوی زاده، ساره حدادی

انتشارات آکادمیک، 1398

تلفن تماس سفارش کتاب: 07132341477-09382252774

سایت انتشارات: http://www.academicpress.co/

سایت آموزشی: http://crsgroup.ir

برای دانلود جزوات و فیلم های رایگان در زمینه GIS وRS به وب سایت زیر مراجعه نمایید:

https://gisland.org/

اسپلاین، روش درونيابي اسپلاين، طبقه­ بندی مکانی ، درونيابي ، داده­ هاي گسسته، داده های منفصل، فراوانی نسبی، فراوانی مطلق، روش تنظیم جدول فراوانی، جدول توزیع فراوانی، فراوانی، طبقه بندی، طبقه بندی دادهها با روش آماری، طبقه بندی داده ها با روش غیر مکانی، جغرافیای محاسباتی، داده های مکانی، آمار فضایی، زمین آمار، آمار، جغرافیا، سعید جوی زاده، موسسه چشم انداز، درون یابی، آماره موران، خودهمبستگی فضایی، رگرسیون، درونیابی، روش های آماری، شاخص های آماری، روش آماری غیر مکانی، طبقه ­بندی داده ­ها، Geocomputation

 

 


برچسب‌ها: اسپلاین, روش درونيابي اسپلاين, طبقه­ بندی مکانی, درونيابي
[ سه شنبه بیست و پنجم تیر ۱۳۹۸ ] [ ۱:۴۷ ب.ظ ] [ سعید جوی زاده ]

کتاب جغرافیای محاسباتی

کلیۀ نمودارهایی که در این بخش معرفی می­شوند هم در توصیف داده-های غیر مکانی و مکانی کاربرد دارند. البته در توصیف مکانی، نمودار مربوطه به نقشه­ ای از مکان متصل می­شود. که این امر باعث می­شود توصیفات بر روی مکان بهتر مشاهده شود. بخش (ب) نمودارهای مکانی و پیاده­ سازی نمودار با نقشه را نشان می­دهد.

نمودار جعبه­ ای

اين نمودار برای توصیف تغییرات داده و در نتیجه نرمال بودن آن­ها به کار می­رود. در این نمودار از یک جعبه برای نمایش فاصله بین چارک اول و سوم استفاده می­شود و یک خط در داخل جعبه، میانه (چارک دوم) را مشخص می­کند. مقادیر حداقل و حداکثر داده­ها و بنابراین داده­های دورافتاده خارج از جعبه واقع می­شوند و به راحتی می­توان آن­ها را شناسایی کرد .......................ادامه مطلب در کتاب: جغرافیای محاسباتی

مولفین: سعید جوی زاده، ساره حدادی

انتشارات آکادمیک، 1398

تلفن تماس سفارش کتاب: 07132341477-09382252774

سایت انتشارات: http://www.academicpress.co/

سایت آموزشی: http://crsgroup.ir

برای دانلود جزوات و فیلم های رایگان در زمینه GIS وRS به وب سایت زیر مراجعه نمایید:

https://gisland.org/

اسپلاین، روش درونيابي اسپلاين، طبقه­ بندی مکانی ، درونيابي ، داده­ هاي گسسته، داده های منفصل، فراوانی نسبی، فراوانی مطلق، روش تنظیم جدول فراوانی، جدول توزیع فراوانی، فراوانی، طبقه بندی، طبقه بندی دادهها با روش آماری، طبقه بندی داده ها با روش غیر مکانی، جغرافیای محاسباتی، داده های مکانی، آمار فضایی، زمین آمار، آمار، جغرافیا، سعید جوی زاده، موسسه چشم انداز، درون یابی، آماره موران، خودهمبستگی فضایی، رگرسیون، درونیابی، روش های آماری، شاخص های آماری، روش آماری غیر مکانی، طبقه ­بندی داده ­ها، Geocomputation

 


برچسب‌ها: اسپلاین, روش درونيابي اسپلاين, طبقه­ بندی مکانی, درونيابي
[ سه شنبه بیست و پنجم تیر ۱۳۹۸ ] [ ۱۲:۵۷ ب.ظ ] [ سعید جوی زاده ]

کتاب جغرافیای محاسباتی

 مقدمه

اگرچه توصيف-هاي مقداري بسياري از ويژگي­ هاي نهان سري­ هاي آماري را بيان مي­كنند ولي مشاهده عيني اين ويژگي­ ها اثر پايدارتري در مغز انسان ايجاد مي­كند. بدين جهت برخي از آماردانان (توكي، 1977) معتقدند كه نمايش تصويري ساختار دروني داده­ها كمك مؤثرتري دارد. در توصيف­ هاي نموداري اطلاعات بيشتري از ساختار دروني داده­ ها آشكار مي شود. بدين جهت به اين روش­هاي توصيفي تحليل اكتشافي داده­ ها نيز مي­گويند. در اين فصل به معرفی نمودارهای مختلف و کاربردی در جغرافیا پرداخته می­شود. برخی از این نمودارها که معرفی می­شوند تنها در مکان کاربرد دارند......................ادامه مطلب در کتاب: جغرافیای محاسباتی

مولفین: سعید جوی زاده، ساره حدادی

انتشارات آکادمیک، 1398

تلفن تماس سفارش کتاب: 07132341477-09382252774

سایت انتشارات: http://www.academicpress.co/

سایت آموزشی: http://crsgroup.ir

برای دانلود جزوات و فیلم های رایگان در زمینه GIS وRS به وب سایت زیر مراجعه نمایید:

https://gisland.org/

اسپلاین، روش درونيابي اسپلاين، طبقه­ بندی مکانی ، درونيابي ، داده­ هاي گسسته، داده های منفصل، فراوانی نسبی، فراوانی مطلق، روش تنظیم جدول فراوانی، جدول توزیع فراوانی، فراوانی، طبقه بندی، طبقه بندی دادهها با روش آماری، طبقه بندی دادهها با روش غیر مکانی، جغرافیای محاسباتی، داده های مکانی، آمار فضایی، زمین آمار، آمار، جغرافیا، سعید جوی زاده، موسسه چشم انداز، درون یابی، آماره موران، خودهمبستگی فضایی، رگرسیون، درونیابی، روش های آماری، شاخص های آماری، روش آماری غیر مکانی، طبقه ­بندی داده ­ها، Geocomputation

 


برچسب‌ها: اسپلاین, روش درونيابي اسپلاين, طبقه­ بندی مکانی, درونيابي
[ سه شنبه بیست و پنجم تیر ۱۳۹۸ ] [ ۱۲:۵۰ ب.ظ ] [ سعید جوی زاده ]

کتاب جغرافیای محاسباتی دکتر سعید جوی زاده

واریانس دایره­ایهمانند واریانس در آمار کلاسیک در حقیقت نشان می­دهد که میانگین جهت خطی تا چه اندازه نماینده خطوطی است که مشاهده می­شوند. یا به عبارتی دیگر خطوط از نقطه تعادل (میانگین) چقدر فاصله گرفته ­اند (گاتو، 2007). واریانس دایره­ای به صورت زیر محاسبه می­شود. مقدار واریانس دایره­ای بین بازه صفر تا یک می­باشد. واریانس دایره­ای زمانی صفر می­شود که همه خطوط مشاهده شده دارای جهت یکسان و یا کاملاً یکسان باشند بنابراین در این صورت...................... ادامه مطلب در کتاب: جغرافیای محاسباتی

مولفین: سعید جوی زاده، ساره حدادی

انتشارات آکادمیک، 1398

تلفن تماس سفارش کتاب: 07132341477-09382252774

سایت انتشارات: http://www.academicpress.co/

سایت آموزشی: http://crsgroup.ir

برای دانلود جزوات و فیلم های رایگان در زمینه GIS وRS به وب سایت زیر مراجعه نمایید:

https://gisland.org/

اسپلاین، روش درونيابي اسپلاين، طبقه­ بندی مکانی ، درونيابي ، داده­ هاي گسسته، داده های منفصل، فراوانی نسبی، فراوانی مطلق، روش تنظیم جدول فراوانی، جدول توزیع فراوانی، فراوانی، طبقه بندی، طبقه بندی دادهها با روش آماری، طبقه بندی دادهها با روش غیر مکانی، جغرافیای محاسباتی، داده های مکانی، آمار فضایی، زمین آمار، آمار، جغرافیا، سعید جوی زاده، موسسه چشم انداز، درون یابی، آماره موران، خودهمبستگی فضایی، رگرسیون، درونیابی، روش های آماری، شاخص های آماری، روش آماری غیر مکانی، طبقه ­بندی داده ­ها، Geocomputation


برچسب‌ها: اسپلاین, روش درونيابي اسپلاين, طبقه­ بندی مکانی, درونيابي
[ سه شنبه بیست و پنجم تیر ۱۳۹۸ ] [ ۱۲:۴۶ ب.ظ ] [ سعید جوی زاده ]

کتاب جغرافیای محاسباتی

توزيع جهت­ دار به معناي وجود يک روند فضايي در عوارض واقع در منطقه مورد مطالعه مي­باشد. در شکل زير به طور ساده توزيع شمال شرقي-جنوب غربي عوارض نقطه ­اي نشان داده شده است. وجود روند معمولاً با يک بيضي شماتيک با عنوان بيضي انحراف استاندارد نشان داده مي­شود که قطر بزرگ آن نمايانگر جهت توزيع مي­باشد (فیشر و همکاران، 1987) ................. ادامه مطلب در کتاب: جغرافیای محاسباتی

مولفین: سعید جوی زاده، ساره حدادی

انتشارات آکادمیک، 1398

تلفن تماس سفارش کتاب: 07132341477-09382252774

سایت انتشارات: http://www.academicpress.co/

سایت آموزشی: http://crsgroup.ir

برای دانلود جزوات و فیلم های رایگان در زمینه GIS وRS به وب سایت زیر مراجعه نمایید:

https://gisland.org/

اسپلاین، روش درونيابي اسپلاين، طبقه­ بندی مکانی ، درونيابي ، داده­ هاي گسسته، داده های منفصل، فراوانی نسبی، فراوانی مطلق، روش تنظیم جدول فراوانی، جدول توزیع فراوانی، فراوانی، طبقه بندی، طبقه بندی دادهها با روش آماری، طبقه بندی دادهها با روش غیر مکانی، جغرافیای محاسباتی، داده های مکانی، آمار فضایی، زمین آمار، آمار، جغرافیا، سعید جوی زاده، موسسه چشم انداز، درون یابی، آماره موران، خودهمبستگی فضایی، رگرسیون، درونیابی، روش های آماری، شاخص های آماری، روش آماری غیر مکانی، طبقه ­بندی داده ­ها، Geocomputation

 


برچسب‌ها: اسپلاین, روش درونيابي اسپلاين, طبقه­ بندی مکانی, درونيابي
[ سه شنبه بیست و پنجم تیر ۱۳۹۸ ] [ ۱۰:۴۷ ق.ظ ] [ سعید جوی زاده ]

کتاب جغرافیای محاسباتی دکتر جوی زاده

مک گرو و مونرو (1993) شاخصي را با عنوان "فاصله استاندارد نسبي پيشنهاد کردند که وضعيت پراکنش عوارض را به صورت نسبي انجام مي­دهد. در شکل زیر  عوارض موجود در دو منطقه با مساحت­هاي مختلف نشان داده شده است. فاصله استاندارد مطلق مربوط به هر دو منطقه با هم برابر مي­باشد (شعاع برابر دو منطقه)، اما روشن است که مقدار پراکنش حول مکان مرکزی (نقطه ميانگين مکاني) در اين دو منطقه با هم فرق مي­کند. بنابراين فاصله استاندارد مطلق نمي­تواند به­خوبي وضعيت پراکنش داده­ها را نسبت به منطقه مورد مطالعه نشان دهد (جانسون و همکاران، 1982). به عبارتی دیگر برای مقایسه پراکنش در مناطق مطالعاتی که مساحت­هاي متفاوت دارند از شاخص فاصله استاندارد نسبی استفاده می­شود که به.........................ادامه مطلب در کتاب: جغرافیای محاسباتی

مولفین: سعید جوی زاده، ساره حدادی

انتشارات آکادمیک، 1398

تلفن تماس سفارش کتاب: 07132341477-09382252774

سایت انتشارات: http://www.academicpress.co/

سایت آموزشی: http://crsgroup.ir

برای دانلود جزوات و فیلم های رایگان در زمینه GIS وRS به وب سایت زیر مراجعه نمایید:

https://gisland.org/

اسپلاین، روش درونيابي اسپلاين، طبقه­ بندی مکانی ، درونيابي ، داده­ هاي گسسته، داده های منفصل، فراوانی نسبی، فراوانی مطلق، روش تنظیم جدول فراوانی، جدول توزیع فراوانی، فراوانی، طبقه بندی، طبقه بندی دادهها با روش آماری، طبقه بندی داده ها با روش غیر مکانی، جغرافیای محاسباتی، داده های مکانی، آمار فضایی، زمین آمار، آمار، جغرافیا، سعید جوی زاده، موسسه چشم انداز، درون یابی، آماره موران، خودهمبستگی فضایی، رگرسیون، درونیابی، روش های آماری، شاخص های آماری، روش آماری غیر مکانی، طبقه ­بندی داده ­ها، Geocomputation


برچسب‌ها: اسپلاین, روش درونيابي اسپلاين, طبقه­ بندی مکانی, درونيابي
[ سه شنبه بیست و پنجم تیر ۱۳۹۸ ] [ ۱۰:۳۶ ق.ظ ] [ سعید جوی زاده ]

کتاب جغرافیای محاسباتی دکتر سعید جوی زاده

برنامه آمایش سرزمین، یکی از مهمترین برنامه­هاي در حال اجرا در بيشتر کشورها مي­باشد. مديران اجرايي علاقه دارند بدانند در هر جای سرزمین خود چه چیزی، به چه مقدار و کجا وجود دارد و چگونه می­توانند از آن بهره­برداری بهینه داشته باشند. برای نمونه تولید محصولات مختلف (کشت چای، برنج، داروهای گیاهی و ... ) و معادن، جنگل­ها و ... در کجای کشور بيشتر يا کمتر است؟، توليد هرکدام از اين منابع به چه ميزان است و پاسخ این قبیل سوالات به مطالعه پراکندگی بر می­گردد که این امکان را می­دهد که دانست در هر جای زمین چه چیزی و به چه مقداری وجود دارد.

در آمار فضایی نیز می­توان همانند آمار کلاسیک علاوه بر شاخص­ های مرکزی، شاخص­های پراکندگی را تعریف کرد. در این بخش به برخی از مهمترین شاخص­های پراکندگی اشاره می­شود........................ادامه مطلب در کتاب: جغرافیای محاسباتی

مولفین: سعید جوی زاده، ساره حدادی

انتشارات آکادمیک، 1398

تلفن تماس سفارش کتاب: 07132341477-09382252774

سایت انتشارات: http://www.academicpress.co/

سایت آموزشی: http://crsgroup.ir

برای دانلود جزوات و فیلم های رایگان در زمینه GIS وRS به وب سایت زیر مراجعه نمایید:

https://gisland.org/

اسپلاین، روش درونيابي اسپلاين، طبقه­ بندی مکانی ، درونيابي ، داده­ هاي گسسته، داده های منفصل، فراوانی نسبی، فراوانی مطلق، روش تنظیم جدول فراوانی، جدول توزیع فراوانی، فراوانی، طبقه بندی، طبقه بندی دادهها با روش آماری، طبقه بندی دادهها با روش غیر مکانی، جغرافیای محاسباتی، داده های مکانی، آمار فضایی، زمین آمار، آمار، جغرافیا، سعید جوی زاده، موسسه چشم انداز، درون یابی، آماره موران، خودهمبستگی فضایی، رگرسیون، درونیابی، روش های آماری، شاخص های آماری، روش آماری غیر مکانی، طبقه ­بندی داده ­ها، Geocomputation

 


برچسب‌ها: اسپلاین, روش درونيابي اسپلاين, طبقه­ بندی مکانی, درونيابي
[ سه شنبه بیست و پنجم تیر ۱۳۹۸ ] [ ۱۰:۲۷ ق.ظ ] [ سعید جوی زاده ]

کتاب جغرافیای محاسباتی دکتر جوی زاده

عارضه مرکزي، عارضه ­اي است که حداقل فاصله افقي را با نقطه ميانگين مکاني دارا مي­باشد. براي مشخص کردن عارضه مرکزي ابتدا مرکز ثقل عوارض موجود مشخص شده و سپس فاصله افقي هر مرکز با ساير مراکز محاسبه مي­شود. در مرحله بعد مجموع فواصل هر مرکز با ساير مراکز مشخص شده و عارضه­ اي که کمترين فراواني تجمعي فاصله را دارا باشد به عنوان عارضه مرکزيانتخاب مي­شود. در شکل زیر مفهوم عارضه مرکزي در مورد تعدادي از عوارض نقطه اي نشان داده شده است...................ادامه مطلب در کتاب: جغرافیای محاسباتی

مولفین: سعید جوی زاده، ساره حدادی

انتشارات آکادمیک، 1398

تلفن تماس سفارش کتاب: 07132341477-09382252774

سایت انتشارات: http://www.academicpress.co/

سایت آموزشی: http://crsgroup.ir

برای دانلود جزوات و فیلم های رایگان در زمینه GIS وRS به وب سایت زیر مراجعه نمایید:

https://gisland.org/

اسپلاین، روش درونيابي اسپلاين، طبقه­ بندی مکانی ، درونيابي ، داده­ هاي گسسته، داده های منفصل، فراوانی نسبی، فراوانی مطلق، روش تنظیم جدول فراوانی، جدول توزیع فراوانی، فراوانی، طبقه بندی، طبقه بندی دادهها با روش آماری، طبقه بندی دادهها با روش غیر مکانی، جغرافیای محاسباتی، داده های مکانی، آمار فضایی، زمین آمار، آمار، جغرافیا، سعید جوی زاده، موسسه چشم انداز، درون یابی، آماره موران، خودهمبستگی فضایی، رگرسیون، درونیابی، روش های آماری، شاخص های آماری، روش آماری غیر مکانی، طبقه ­بندی داده ­ها، Geocomputation

 


برچسب‌ها: اسپلاین, روش درونيابي اسپلاين, طبقه­ بندی مکانی, درونيابي
[ سه شنبه بیست و پنجم تیر ۱۳۹۸ ] [ ۱۰:۲۲ ق.ظ ] [ سعید جوی زاده ]

کتاب جغرافیای محاسباتی دکتر جوی زاده

میانگین مکاني، مجموع مربعات فواصل را به حداقل می­رساند. در مطالعات مکاني این تعریف کاربرد چنداني ندارد و معمولاً سعي بر آن است که مکانی را یافت که مجموع فواصل را به حداقل برساند.

مکانی که مجموع فواصل طی شده را به حداقل می­رساند، به عنوان ميانه مکاني (مرکز میانه) شناخته می­شود. گرچه تفسیر اين شاخص ساده­ تر از تفسیر میانگین مکاني است، اما محاسبه آن پیچیده­تر می­باشد. محاسبه میانه مکاني تکرار شونده است و با استفاده از مکان ابتدایی (میانگین مکاني) آغاز می­شود. سپس، مختصاتxx و yy  جدید  با استفاده از معادله زیر به روز رسانی می­شود:..........................................ادامه مطلب در کتاب: جغرافیای محاسباتی

مولفین: سعید جوی زاده، ساره حدادی

انتشارات آکادمیک، 1398

تلفن تماس سفارش کتاب: 07132341477-09382252774

سایت انتشارات: http://www.academicpress.co/

سایت آموزشی: http://crsgroup.ir

برای دانلود جزوات و فیلم های رایگان در زمینه GIS وRS به وب سایت زیر مراجعه نمایید:

https://gisland.org/

اسپلاین، روش درونيابي اسپلاين، طبقه­ بندی مکانی ، درونيابي ، داده­ هاي گسسته، داده های منفصل، فراوانی نسبی، فراوانی مطلق، روش تنظیم جدول فراوانی، جدول توزیع فراوانی، فراوانی، طبقه بندی، طبقه بندی دادهها با روش آماری، طبقه بندی دادهها با روش غیر مکانی، جغرافیای محاسباتی، داده های مکانی، آمار فضایی، زمین آمار، آمار، جغرافیا، سعید جوی زاده، موسسه چشم انداز، درون یابی، آماره موران، خودهمبستگی فضایی، رگرسیون، درونیابی، روش های آماری، شاخص های آماری، روش آماری غیر مکانی، طبقه ­بندی داده ­ها، Geocomputation

 


برچسب‌ها: اسپلاین, روش درونيابي اسپلاين, طبقه­ بندی مکانی, درونيابي
[ سه شنبه بیست و پنجم تیر ۱۳۹۸ ] [ ۱۰:۱۵ ق.ظ ] [ سعید جوی زاده ]

کتاب جغرافیای محاسباتی دکتر سعید جوی زاده

مرسوم ترين سنجش گرایش مرکزی برای داده های فضایی، میانگین مکاني (مرکز ميانگين) است، که به صورت مکان نقطه ای در یک منطقه مطالعاتی خاص ارائه می شود. بررسی میانگین مکانی (مرکزی) در آمار فضایی مشابه آمار کلاسیک است با این تفاوت که آمار فضایی به دنبال به دست آوردن مکان تعادل است. از این رو مختصات جغرافیایی مکان همچون طولXX ، عرضyy و گاهی اوقات ارتفاعzz  اهمیت پیدا می کند . در شکل زیر مفهوم ساده ميانگين مکاني براي عوارض نقطه اي نشان داده شده است........................................ادامه مطلب در کتاب: جغرافیای محاسباتی

مولفین: سعید جوی زاده، ساره حدادی

انتشارات آکادمیک، 1398

تلفن تماس سفارش کتاب: 07132341477-09382252774

سایت انتشارات: http://www.academicpress.co/

سایت آموزشی: http://crsgroup.ir

برای دانلود جزوات و فیلم های رایگان در زمینه GIS وRS به وب سایت زیر مراجعه نمایید:

https://gisland.org/

اسپلاین، روش درونيابي اسپلاين، طبقه­ بندی مکانی ، درونيابي ، داده­ هاي گسسته، داده های منفصل، فراوانی نسبی، فراوانی مطلق، روش تنظیم جدول فراوانی، جدول توزیع فراوانی، فراوانی، طبقه بندی، طبقه بندی دادهها با روش آماری، طبقه بندی داده ها با روش غیر مکانی، جغرافیای محاسباتی، داده های مکانی، آمار فضایی، زمین آمار، آمار، جغرافیا، سعید جوی زاده، موسسه چشم انداز، درون یابی، آماره موران، خودهمبستگی فضایی، رگرسیون، درونیابی، روش های آماری، شاخص های آماری، روش آماری غیر مکانی، طبقه ­بندی داده ­ها، Geocomputation

 


برچسب‌ها: اسپلاین, روش درونيابي اسپلاين, طبقه­ بندی مکانی, درونيابي
[ سه شنبه بیست و پنجم تیر ۱۳۹۸ ] [ ۹:۵۶ ق.ظ ] [ سعید جوی زاده ]

شاخص­ هاي مرکزي تمایل داده­ ها به نقطه مرکزي را به خوبي نشان مي­دهند اما قادر به ارائه اطلاعات کافی از تغییرپذیری، تنوع و چگونگی توزیع مقادیر در اطراف اين نقطه نمي­باشند. بنابراين در بيشتر موارد آماره­هاي مزبور جوابگوی نیاز پژوهشگر به شناخت واقعیت­ های طبیعی نيستند و لازم است مشاهدات براساس شدت نوسان حول یک نقطه مرکزي مورد بررسی و مقایسه قرار گیرد. در نهايت اين­که بررسي آماره­هاي پراکندگی در کنار آمار­ هاي مرکزی اطلاعات مناسبی از مجموعه داده­ های آماري را در اختيار قرار مي­دهد.

در مقايسه شاخص­ هاي مرکزي و پراکندگي مي­توان برای نمونه دمای دو ایستگاه فرضی الف و ب طی 6 ماه سال را به صورت زیر ................................ادامه مطلب در کتاب: جغرافیای محاسباتی

مولفین: سعید جوی زاده، ساره حدادی

انتشارات آکادمیک، 1398

تلفن تماس سفارش کتاب: 07132341477-09382252774

سایت انتشارات: http://www.academicpress.co/

سایت آموزشی: http://crsgroup.ir

برای دانلود جزوات و فیلم های رایگان در زمینه GIS وRS به وب سایت زیر مراجعه نمایید:

https://gisland.org/

اسپلاین، روش درونيابي اسپلاين، طبقه­ بندی مکانی ، درونيابي ، داده­ هاي گسسته، داده های منفصل، فراوانی نسبی، فراوانی مطلق، روش تنظیم جدول فراوانی، جدول توزیع فراوانی، فراوانی، طبقه بندی، طبقه بندی دادهها با روش آماری، طبقه بندی دادهها با روش غیر مکانی، جغرافیای محاسباتی، داده های مکانی، آمار فضایی، زمین آمار، آمار، جغرافیا، سعید جوی زاده، موسسه چشم انداز، درون یابی، آماره موران، خودهمبستگی فضایی، رگرسیون، درونیابی، روش های آماری، شاخص های آماری، روش آماری غیر مکانی، طبقه ­بندی داده­ها، Geocomputation


برچسب‌ها: اسپلاین, روش درونيابي اسپلاين, طبقه­ بندی مکانی, درونيابي
[ دوشنبه بیست و چهارم تیر ۱۳۹۸ ] [ ۹:۴۳ ق.ظ ] [ سعید جوی زاده ]

جغرافیای محاسباتی دکتر سعید جوی زاده

ميانه مقداری است که دسته­ داده­ها را به دو قسمت مساوی تقسیم می­کند. به عبارت دیگر 50 درصد داده ­ها در زیر میانه و 50 درصد در بالای میانه قرار می­گیرند. برای پیدا کردن میانه در داده­های گسسته، ابتدا داده­ ها از کوچک به بزرگ مرتب مي­ شوند. در اين حالت اگر تعداد داده­ ها فرد باشد، عدد وسط، میانه است و اگر تعداد داده ­ها زوج باشد میانه برابر با میانگین حسابی دو عدد وسطی است. برای نمونه، ميانه داده­هاي زير برابر با 22 است چون داده­ ها ترتيب صعودي داشته و عدد وسط برابر با 22 است:

23،22،22،21،20

.........................ادامه مطلب در کتاب: جغرافیای محاسباتی

مولفین: سعید جوی زاده، ساره حدادی

انتشارات آکادمیک، 1398

تلفن تماس سفارش کتاب: 07132341477-09382252774

سایت انتشارات: http://www.academicpress.co/

سایت آموزشی: http://crsgroup.ir

برای دانلود جزوات و فیلم های رایگان در زمینه GIS وRS به وب سایت زیر مراجعه نمایید:

https://gisland.org/

اسپلاین، روش درونيابي اسپلاين، طبقه­ بندی مکانی ، درونيابي ، داده­ هاي گسسته، داده های منفصل، فراوانی نسبی، فراوانی مطلق، روش تنظیم جدول فراوانی، جدول توزیع فراوانی، فراوانی، طبقه بندی، طبقه بندی دادهها با روش آماری، طبقه بندی دادهها با روش غیر مکانی، جغرافیای محاسباتی، داده های مکانی، آمار فضایی، زمین آمار، آمار، جغرافیا، سعید جوی زاده، موسسه چشم انداز، درون یابی، آماره موران، خودهمبستگی فضایی، رگرسیون، درونیابی، روش های آماری، شاخص های آماری، روش آماری غیر مکانی، طبقه ­بندی داده ­ها، Geocomputation


برچسب‌ها: اسپلاین, روش درونيابي اسپلاين, طبقه­ بندی مکانی, درونيابي
[ دوشنبه بیست و چهارم تیر ۱۳۹۸ ] [ ۹:۳۵ ق.ظ ] [ سعید جوی زاده ]

کتاب جغرافیای محاسباتی

میانگین متحرک

میانگین حسابی به این صورت تعریف شد که اگر یک سری داده داشته باشیم همگی داده­ها را با هم جمع کرده و سپس جواب به دست آمده را به تعداد کل داده ­ها تقسیم نموده. در اینجا قصد است روشی به نام میانگین متحرک را مطرح کرده که بیشتر در سری زمانی کاربرد دارد. این روش دقیقاً مشابه به دست آوردن میانگین حسابی است اما با این تفاوت که برای یک سری داده چندین بار از میانگین­گیری استفاده می­شود. برای نمونه، برای سری داده­های زیر روش میانگین متحرک مرتبهNN به طریق زیر به دست می­ آید: .......................ادامه مطلب در کتاب: جغرافیای محاسباتی

مولفین: سعید جوی زاده، ساره حدادی

انتشارات آکادمیک، 1398

تلفن تماس سفارش کتاب: 07132341477-09382252774

سایت انتشارات: http://www.academicpress.co/

سایت آموزشی: http://crsgroup.ir

برای دانلود جزوات و فیلم های رایگان در زمینه GIS وRS به وب سایت زیر مراجعه نمایید:

https://gisland.org/

اسپلاین، روش درونيابي اسپلاين، طبقه­ بندی مکانی ، درونيابي ، داده­ هاي گسسته، داده های منفصل، فراوانی نسبی، فراوانی مطلق، روش تنظیم جدول فراوانی، جدول توزیع فراوانی، فراوانی، طبقه بندی، طبقه بندی دادهها با روش آماری، طبقه بندی داده ها با روش غیر مکانی، جغرافیای محاسباتی، داده های مکانی، آمار فضایی، زمین آمار، آمار، جغرافیا، سعید جوی زاده، موسسه چشم انداز، درون یابی، آماره موران، خودهمبستگی فضایی، رگرسیون، درونیابی، روش های آماری، شاخص های آماری، روش آماری غیر مکانی، طبقه ­بندی داده­ها، Geocomputatiom ،


برچسب‌ها: اسپلاین, روش درونيابي اسپلاين, طبقه­ بندی مکانی, درونيابي
[ دوشنبه بیست و چهارم تیر ۱۳۹۸ ] [ ۹:۲۹ ق.ظ ] [ سعید جوی زاده ]

جغرافیای محاسباتی دکتر جوی زاده

میانگین وزنی

در مواردي که ارزش يا اهميت همه مقادير در محاسبه ميانگين يکسان نيست از ميانگين­گيري وزني استفاده مي­شود. به عنوان مثال میزان بارش در مناطق مختلف تحت تأثیر مساحت آن مناطق است و جهت محاسبه ميانگـين بارش کل منـطقه لازم است ميـانگين­گيـري وزني انـجام داد. براي محاسبه ميانگين وزني از رابطه زير استفاده مي­شود: ادامه مطلب در .........................کتاب: جغرافیای محاسباتی

مولفین: سعید جوی زاده، ساره حدادی

انتشارات آکادمیک، 1398

تلفن تماس سفارش کتاب: 07132341477-09382252774

سایت انتشارات: http://www.academicpress.co/

سایت آموزشی: http://crsgroup.ir

برای دانلود جزوات و فیلم های رایگان در زمینه GIS وRS به وب سایت زیر مراجعه نمایید:

https://gisland.org/

اسپلاین، روش درونيابي اسپلاين، طبقه­ بندی مکانی ، درونيابي ، داده­ هاي گسسته، داده های منفصل، فراوانی نسبی، فراوانی مطلق، روش تنظیم جدول فراوانی، جدول توزیع فراوانی، فراوانی، طبقه بندی، طبقه بندی دادهها با روش آماری، طبقه بندی دادهها با روش غیر مکانی، جغرافیای محاسباتی، داده های مکانی، آمار فضایی، زمین آمار، آمار، جغرافیا، سعید جوی زاده، موسسه چشم انداز، درون یابی، آماره موران، خودهمبستگی فضایی، رگرسیون، درونیابی، روش های آماری، شاخص های آماری، روش آماری غیر مکانی، طبقه ­بندی داده­ها، Geocomputatiom ،


برچسب‌ها: اسپلاین, روش درونيابي اسپلاين, طبقه­ بندی مکانی, درونيابي
[ دوشنبه بیست و چهارم تیر ۱۳۹۸ ] [ ۹:۲۵ ق.ظ ] [ سعید جوی زاده ]

کتاب جغرافیای محاسباتی دکتر سعید جوی زاده

نکته مهم در مطالعه توزیع یک نمونه از مقادير، تعیین يک مقدار مرکزی، یعنی مقدار نماینده اي که اندازه ها در اطراف آن توزیع شده اند، به عنوان نقطه تعادل داده ها ميباشد. از معروفترین شاخص های مرکزی مي توان به موارد زیر اشاره کرد.

 ميانگين حسابي

میانگین حسابی به طور ساده عبارتست از مجموع تمام مقادير تقسیم بر تعداد آن ها. در مورد نمونه هاي آماري، ميانگين حسابي .....................................ادامه مطلب در کتاب: جغرافیای محاسباتی

مولفین: سعید جوی زاده، ساره حدادی

انتشارات آکادمیک، 1398

تلفن تماس سفارش کتاب: 07132341477-09382252774

سایت انتشارات: http://www.academicpress.co/

سایت آموزشی: http://crsgroup.ir

برای دانلود جزوات و فیلم های رایگان در زمینه GIS وRS به وب سایت زیر مراجعه نمایید:

https://gisland.org/

اسپلاین، روش درونيابي اسپلاين، طبقه­ بندی مکانی ، درونيابي ، داده­ هاي گسسته، داده های منفصل، فراوانی نسبی، فراوانی مطلق، روش تنظیم جدول فراوانی، جدول توزیع فراوانی، فراوانی، طبقه بندی، طبقه بندی دادهها با روش آماری، طبقه بندی دادهها با روش غیر مکانی، جغرافیای محاسباتی، داده های مکانی، آمار فضایی، زمین آمار، آمار، جغرافیا، سعید جوی زاده، موسسه چشم انداز، درون یابی، آماره موران، خودهمبستگی فضایی، رگرسیون، درونیابی، روش های آماری، شاخص های آماری، روش آماری غیر مکانی، طبقه ­بندی داده­ها، Geocomputatiom ،


برچسب‌ها: اسپلاین, روش درونيابي اسپلاين, طبقه­ بندی مکانی, درونيابي
[ دوشنبه بیست و چهارم تیر ۱۳۹۸ ] [ ۹:۱۸ ق.ظ ] [ سعید جوی زاده ]

هرچند که درونيابي کريجينگ تقريباً پيچيده مي­باشد و روش­هاي مختلفي براي اجراي آن ابداع شده است، اما در اين کتاب سعي شده به طور ساده به شرح مراحل اين روش پرداخته شود:

  1. آزمون توزيع داده­ها

چون کريجينگ يک روش زمين ­آماري است و مبتني بر تصادفي بودن متغير مورد بررسي است، لذا روش­هاي زمين­آماري همچون کريجينگ معمولاً در شرايطي که داده­ها از توزيع نرمال تبعيت کنند، با کمترين خطا مقدار يا مقادير مجهول را درونيابي مي­کنند. براي تعيين نرمال بودن يا نبودن توزيع داده­ها روش­هاي مختلفي وجود دارد که از مهمترين آن­ها عبارتند از:

- ترسيم نمودار توزيع فراواني داده­ها:

و.............

ادامه مطلب در کتاب: جغرافیای محاسباتی

مولفین: سعید جوی زاده، ساره حدادی

انتشارات آکادمیک، 1398

تلفن تماس سفارش کتاب: 07132341477-09382252774

سایت انتشارات: http://www.academicpress.co/

سایت آموزشی: http://crsgroup.ir

 

برای دانلود جزوات و فیلم های رایگان در زمینه GIS وRS به وب سایت زیر مراجعه نمایید:

https://gisland.org/

درونيابي کريجينگ،  روش کريجينگ، طبقه­ بندی مکانی ، درونيابي ، داده­هاي گسسته، داده های منفصل، فراوانی نسبی، فراوانی مطلق، روش تنظیم جدول فراوانی، جدول توزیع فراوانی، فراوانی، طبقه بندی، طبقه بندی دادهها با روش آماری، طبقه بندی دادهها با روش غیر مکانی، جغرافیای محاسباتی، داده های مکانی، آمار فضایی، زمین آمار، آمار، جغرافیا، سعید جوی زاده، موسسه چشم انداز، درون یابی، آماره موران، خودهمبستگی فضایی، رگرسیون، درونیابی، روش های آماری، شاخص های آماری، روش آماری غیر مکانی، طبقه ­بندی داده­ها، Geocomputatiom ،

 


برچسب‌ها: درونيابي کريجينگ, روش کريجينگ, طبقه­ بندی مکانی, درونيابي
[ یکشنبه بیست و سوم تیر ۱۳۹۸ ] [ ۱۰:۵۴ ق.ظ ] [ منیژه براهیمی ]

جغرافیای محاسباتی

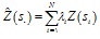
اين روش،که در عمل رايج­ترين روش درونيابي محسوب مي­شود، به افتخار دي جي کريگ[1] از دانشمندان علم زمين­آمار نامگذاري شده است. معادله عمومي کريجينگ به­صورت زير است:

                     

که  مقدار مجهول در نقطه ، λi  وزن نقطه معلوم i  در محاسبه مقدار مجهول، Zsi  مقدار معلوم در نقطه معلوم i  و ε  پارامتري موسوم به خطاي تصادفي مي­باشد. معادله عمومي کريجينگ با دو تفاوت، شبيه به معادله IDW  مي­باشد:

الف) فرآيند محاسبه λi  متفاوت از روش IDW  است

و.............

ادامه مطلب در کتاب: جغرافیای محاسباتی

مولفین: سعید جوی زاده، ساره حدادی

انتشارات آکادمیک، 1398

تلفن تماس سفارش کتاب: 07132341477-09382252774

سایت انتشارات: http://www.academicpress.co/

سایت آموزشی: http://crsgroup.ir

برای دانلود جزوات و فیلم های رایگان در زمینه GIS وRS به وب سایت زیر مراجعه نمایید:

https://gisland.org/

 

روش درون یابی، روش کريجينگ، طبقه­ بندی مکانی، درونيابي، داده­هاي گسسته، داده های منفصل، فراوانی نسبی، فراوانی مطلق، روش تنظیم جدول فراوانی، جدول توزیع فراوانی، فراوانی، طبقه بندی، طبقه بندی دادهها با روش آماری، طبقه بندی دادهها با روش غیر مکانی، جغرافیای محاسباتی، داده های مکانی، آمار فضایی، زمین آمار، آمار، جغرافیا، سعید جوی زاده، موسسه چشم انداز، درون یابی، آماره موران، خودهمبستگی فضایی، رگرسیون، درونیابی، روش های آماری، شاخص های آماری، روش آماری غیر مکانی، طبقه ­بندی داده­ها، Geocomputatiom ،

 


برچسب‌ها: روش درون یابی, روش کريجينگ, طبقه­ بندی مکانی, درونيابي
[ یکشنبه بیست و سوم تیر ۱۳۹۸ ] [ ۱۰:۵۲ ق.ظ ] [ منیژه براهیمی ]

جغرافیای محاسباتی

زمين­ آمار شاخه­اي از علم آمار فضايي است که با استفاده از روش­هاي آماري سعي در درونيابي و برونيابي داده­هاي معلوم و تخمين مقدار در نقطه يا نقاط مجهول دارد. روش­هاي زمين­آماري منطبق بر قوانين آماري مي­باشند و در اجراي آن­ها بايستي مباني آمار شامل توزيع­ آماري و تصادفي بودن يا نبودن فرآيندها مورد بررسي قرار گيرد. روش­هاي زمين­آماري متعددي وجود دارد که عمده آن­ها بر روشي موسوم به کريجينگ مبتني مي­باشند.

و.............

ادامه مطلب در کتاب: جغرافیای محاسباتی

مولفین: سعید جوی زاده، ساره حدادی

انتشارات آکادمیک، 1398

تلفن تماس سفارش کتاب: 07132341477-09382252774

سایت انتشارات: http://www.academicpress.co/

سایت آموزشی: http://crsgroup.ir

 

برای دانلود جزوات و فیلم های رایگان در زمینه GIS وRS به وب سایت زیر مراجعه نمایید:

https://gisland.org/

روشهاي زمينآماري، کریجینگ، طبقه­ بندی مکانی ، درونيابي ، داده­هاي گسسته، داده های منفصل، فراوانی نسبی، فراوانی مطلق، روش تنظیم جدول فراوانی، جدول توزیع فراوانی، فراوانی، طبقه بندی، طبقه بندی دادهها با روش آماری، طبقه بندی دادهها با روش غیر مکانی، جغرافیای محاسباتی، داده های مکانی، آمار فضایی، زمین آمار، آمار، جغرافیا، سعید جوی زاده، موسسه چشم انداز، درون یابی، آماره موران، خودهمبستگی فضایی، رگرسیون، درونیابی، روش های آماری، شاخص های آماری، روش آماری غیر مکانی، طبقه ­بندی داده­ها، Geocomputatiom ،

 


برچسب‌ها: روشهاي زمينآماري, کریجینگ, طبقه­ بندی مکانی, درونيابي
[ یکشنبه بیست و سوم تیر ۱۳۹۸ ] [ ۱۰:۴۹ ق.ظ ] [ منیژه براهیمی ]

جغرافیای محاسباتی

در اين روش از معکوس فاصله به­عنوان وزن نقاط معلوم در تخمين نقاط مجهول استفاده مي­شود، زيرا نقش متغير پيوسته در تأثيرگذاري با فاصله از مکان نقطه مجهول کاهش مي­يابد. معادله عمومي درونيابي عکس فاصله وزني به صورت زير است:

       

             

که در آن Z(si)  مقدار معلوم در موقعيتi اُم،  مقدار در نقطه مجهول ، λi  وزن مقدار معلوم در موقعيتi اُم و N  تعداد نقاط معلوم مي­باشد. λi  تابعي از فواصل بين نقاط معلوم تا نقطه مجهول مي­باشد و هرچه اين فاصله بيشتر باشد، مقدار λi  کوچک­تر است. اين بدان معناست که نقاط معلومي که در فاصله زياد نسبت به نقطه مجهول

و.............

ادامه مطلب در کتاب: جغرافیای محاسباتی

مولفین: سعید جوی زاده، ساره حدادی

انتشارات آکادمیک، 1398

تلفن تماس سفارش کتاب: 07132341477-09382252774

سایت انتشارات: http://www.academicpress.co/

سایت آموزشی: http://crsgroup.ir

 

برای دانلود جزوات و فیلم های رایگان در زمینه GIS وRS به وب سایت زیر مراجعه نمایید:

https://gisland.org/

روش درونیابی، روش درونيابي معکوس فاصله وزني، IDW، طبقه­ بندی مکانی ، درونيابي ، داده­هاي گسسته، داده های منفصل، فراوانی نسبی، فراوانی مطلق، روش تنظیم جدول فراوانی، جدول توزیع فراوانی، فراوانی، طبقه بندی، طبقه بندی دادهها با روش آماری، طبقه بندی دادهها با روش غیر مکانی، جغرافیای محاسباتی، داده های مکانی، آمار فضایی، زمین آمار، آمار، جغرافیا، سعید جوی زاده، موسسه چشم انداز، درون یابی، آماره موران، خودهمبستگی فضایی، رگرسیون، درونیابی، روش های آماری، شاخص های آماری، روش آماری غیر مکانی، طبقه ­بندی داده­ها، Geocomputatiom ،

 


برچسب‌ها: روش درونیابی, IDW, طبقه­ بندی مکانی, درونيابي
[ یکشنبه بیست و سوم تیر ۱۳۹۸ ] [ ۱۰:۴۷ ق.ظ ] [ منیژه براهیمی ]

جغرافیای محاسباتی

در روش اسپلاين[1] يا (روش شعاع پايه[2])، يک صفحه کشسان به ­گونه­اي در فضا ترسيم مي­شود که با تمامي نقاط معلوم اتصال داشته باشد. اين سطح کشسان داراي معادله­اي تقريبا پيچيده بين مقادير x ، y  و s  مي­باشد. حال اگر نقطه مجهولي با مختصات x و y  معلوم، موجود باشد، کافي است مقادير x  و y   را در معادله سطح گذاشته و مقدار s  را تخمين زد. تفاوت اين روش با درونيابي چند جمله­اي در اين است که سطح اسپلاين نقاط معلوم را قطع مي­کند در حالي­که سطح برازش از بين نقاط عبور داده مي­شود. روش اسپلاين در شرايطي مفيد است که تغييرات مقدار مورد نظر در نقاط معلوم با تغيير فاصله چندان زياد نباشد. براي نمونه در آب يک درياچه، غلظت عنصر کادميم ممکن است از 06/0 تا 09/0 ميلي­گرم بر ليتر در فاصله 1 کيلومتري تغيير کند يعني فقط 03/0 در هر کيلومتر مربع؛ بنابراين روش اسپلاين براي درونيابي مقادير اين عنصر در محدوده درياچه مورد مطالعه مي­تواند مناسب باشد. معادله کلي درونيابي اسپلاين به صورت زير است:

و.............

ادامه مطلب در کتاب: جغرافیای محاسباتی

مولفین: سعید جوی زاده، ساره حدادی

انتشارات آکادمیک، 1398

تلفن تماس سفارش کتاب: 07132341477-09382252774

سایت انتشارات: http://www.academicpress.co/

سایت آموزشی: http://crsgroup.ir

 

برای دانلود جزوات و فیلم های رایگان در زمینه GIS وRS به وب سایت زیر مراجعه نمایید:

https://gisland.org/

اسپلاین، روش درونيابي اسپلاين، طبقه­ بندی مکانی ، درونيابي ، داده­هاي گسسته، داده های منفصل، فراوانی نسبی، فراوانی مطلق، روش تنظیم جدول فراوانی، جدول توزیع فراوانی، فراوانی، طبقه بندی، طبقه بندی دادهها با روش آماری، طبقه بندی دادهها با روش غیر مکانی، جغرافیای محاسباتی، داده های مکانی، آمار فضایی، زمین آمار، آمار، جغرافیا، سعید جوی زاده، موسسه چشم انداز، درون یابی، آماره موران، خودهمبستگی فضایی، رگرسیون، درونیابی، روش های آماری، شاخص های آماری، روش آماری غیر مکانی، طبقه ­بندی داده­ها، Geocomputatiom ،


برچسب‌ها: اسپلاین, روش درونيابي اسپلاين, طبقه­ بندی مکانی, درونيابي
[ یکشنبه بیست و سوم تیر ۱۳۹۸ ] [ ۱۰:۴۳ ق.ظ ] [ منیژه براهیمی ]

جغرافیای محاسباتی

در اين روش يک سطح برازش به گونه­اي از بين نقاط معلوم عبور داده مي­شود که 50 درصد نقاط بالاتر از اين سطح و 50 درصد پايين­تر از آن قرار داشته باشند. سطح مزبور داراي يک معادله چندجمله­اي بين متغيرهاي x ، y  و Z(s)  است. x  و y  موقعيت نقاط و Z(s)  مقدار متغير مورد بررسي در نقطه (s)  مي­باشد. حال کافي است براي تخمين مقدار (مقدار در نقطه مجهول)، مقادير x  و y  را در معادله سطح برازش قرار داده و معادله را حل کرد. با توجه به پراکنش نقاط معلوم و دامنه تغييرات مقادير، از دو روش درونيابي چندجمله­اي استفاده مي­شود:

و.............

ادامه مطلب در کتاب: جغرافیای محاسباتی

مولفین: سعید جوی زاده، ساره حدادی

انتشارات آکادمیک، 1398

تلفن تماس سفارش کتاب: 07132341477-09382252774

سایت انتشارات: http://www.academicpress.co/

سایت آموزشی: http://crsgroup.ir

برای دانلود جزوات و فیلم های رایگان در زمینه GIS وRS به وب سایت زیر مراجعه نمایید:

https://gisland.org/

 

درون یابی، روش درونيابي چندجمله اي،  تابع روند، طبقه­ بندی مکانی ، درونيابي ، داده­هاي گسسته، داده های منفصل، فراوانی نسبی، فراوانی مطلق، روش تنظیم جدول فراوانی، جدول توزیع فراوانی، فراوانی، طبقه بندی، طبقه بندی دادهها با روش آماری، طبقه بندی دادهها با روش غیر مکانی، جغرافیای محاسباتی، داده های مکانی، آمار فضایی، زمین آمار، آمار، جغرافیا، سعید جوی زاده، موسسه چشم انداز، درون یابی، آماره موران، خودهمبستگی فضایی، رگرسیون، درونیابی، روش های آماری، شاخص های آماری، روش آماری غیر مکانی، طبقه ­بندی داده­ها، Geocomputatiom ،

 


برچسب‌ها: درون یابی, روش درونيابي چندجمله اي, تابع روند, طبقه­ بندی مکانی
[ یکشنبه بیست و سوم تیر ۱۳۹۸ ] [ ۱۰:۳۹ ق.ظ ] [ منیژه براهیمی ]

با توجه به ماهيت و نوع داده­هايي که قرار است درونيابي شوند، روش­هاي متعدد درونيابي ابداع شده که از مهمترين آن­ها مي­توان به موارد زير اشاره کرد:

4-3-2-1 روش­های ترسیمی

اين روش­ها مبتني بر ترسيم شکل­هاي هندسي (معمولاً نامنظم) در اطراف نقاط معلوم و تخمين مقادير مجهول با روش­هاي ساده رياضياتي مي­باشند. روش­هاي ترسيمي را مي­توان به انواع زير دسته­بندي کرد:

الف) روش مثلث­بندي

در اين روش­ با وصل کردن نقاط معلوم به يکديگر، مثلث­هايي (معمولاً نامنظم) به دست مي­آيد که نقاط معلوم در رئوس آن­ها قرار گرفته­اند. حال با يک ميانگين­گيري ساده از مقادير معلوم در رئوس هر مثلث مي­توان مقدار مجهول را ،که

و.............

ادامه مطلب در کتاب: جغرافیای محاسباتی

مولفین: سعید جوی زاده، ساره حدادی

انتشارات آکادمیک، 1398

تلفن تماس سفارش کتاب: 07132341477-09382252774

سایت انتشارات: http://www.academicpress.co/

سایت آموزشی: http://crsgroup.ir

 

برای دانلود جزوات و فیلم های رایگان در زمینه GIS وRS به وب سایت زیر مراجعه نمایید:

https://gisland.org/

درون یابی، روش ترسیمی، روش مثلث بندی، طبقه ­بندی مکانی ، درونيابي ، داده­هاي گسسته، داده های منفصل، فراوانی نسبی، فراوانی مطلق، روش تنظیم جدول فراوانی، جدول توزیع فراوانی، فراوانی، طبقه بندی، طبقه بندی دادهها با روش آماری، طبقه بندی دادهها با روش غیر مکانی، جغرافیای محاسباتی، داده های مکانی، آمار فضایی، زمین آمار، آمار، جغرافیا، سعید جوی زاده، موسسه چشم انداز، درون یابی، آماره موران، خودهمبستگی فضایی، رگرسیون، درونیابی، روش های آماری، شاخص های آماری، روش آماری غیر مکانی، طبقه ­بندی داده­ها، Geocomputatiom ،

 


برچسب‌ها: درون یابی, روش ترسیمی, روش مثلث بندی, طبقه ­بندی مکانی
[ یکشنبه بیست و سوم تیر ۱۳۹۸ ] [ ۱۰:۳۲ ق.ظ ] [ منیژه براهیمی ]

جغرافیای محاسباتی

یکی از مهمترین انواع روش­های طبقه­بندی مکانی داده­ها، روش درونیابی است. درونیابی قادر است با طبقه­بندی مناسب بر روی داده­ها مکان فاقد داده را تخمین زند. از آ نجا که درونیابی یکی از مهمترین موضوعات زمین آمار می­باشد. در این بخش به این موضوع پرداخته شده است.  

و.............

ادامه مطلب در کتاب: جغرافیای محاسباتی

مولفین: سعید جوی زاده، ساره حدادی

انتشارات آکادمیک، 1398

تلفن تماس سفارش کتاب: 07132341477-09382252774

سایت انتشارات: http://www.academicpress.co/

سایت آموزشی: http://crsgroup.ir

 

برای دانلود جزوات و فیلم های رایگان در زمینه GIS وRS به وب سایت زیر مراجعه نمایید:

https://gisland.org/

طبقه­ بندی مکانی ، درونيابي ، داده­هاي گسسته، داده های منفصل، فراوانی نسبی، فراوانی مطلق، روش تنظیم جدول فراوانی، جدول توزیع فراوانی، فراوانی، طبقه بندی، طبقه بندی دادهها با روش آماری، طبقه بندی دادهها با روش غیر مکانی، جغرافیای محاسباتی، داده های مکانی، آمار فضایی، زمین آمار، آمار، جغرافیا، سعید جوی زاده، موسسه چشم انداز، درون یابی، آماره موران، خودهمبستگی فضایی، رگرسیون، درونیابی، روش های آماری، شاخص های آماری، روش آماری غیر مکانی، طبقه ­بندی داده­ها، Geocomputation،


برچسب‌ها: طبقه­ بندی مکانی, درونيابي, داده­هاي گسسته, داده های منفصل
[ یکشنبه بیست و سوم تیر ۱۳۹۸ ] [ ۱۰:۲۰ ق.ظ ] [ منیژه براهیمی ]
.: Weblog Themes By SibTheme :.

درباره وبلاگ

موسسه علمی - تحقیقاتی چشم انداز
مرکز آموزش نرم افزار های کاربردی در شهر شیراز و تهران
دپارتمان GIS وRS
دپارتمان حسابداری و مدیریت
دپارتمان زبان های خارجی
دپارتمان IT
sjavizadeh@yahoo.com
www.gisland.org
همراه:

09382252774


07132336243



امکانات وب